Lösung:
Der Satellit muß eine Umlaufzeit von 24 Stunden
haben, damit er dieselbe Winkelgeschwindigkeit wie die Erde hat.
Es gilt: ![]()
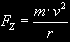
Die Zentralkraft ist hier die Gravitationskraft.
Es muß also gelten: ![]()
Umgeformt nach r ergibt dies einen Bahnradius von 42247km.
Durch Einsetzen der Werte in die Gleichung für die
Arbeit im Gravitationsfeld ergibt sich für die Energie ![]()
Bitte hier klicken, um fortzufahren.